Take a look at the Recent articles

Predictors for atrial fibrillation onset in CKD patients with pacemaker

Márcio Galindo Kiuchi

Division of Cardiac Pacing, Department of Medicine, Hospital e Clínica São Gonçalo, São Gonçalo, RJ, Brazil

Department of Cardiology, Elisabethinen University Teaching Hospital Linz, Linz, Austria

E-mail : bhuvaneswari.bibleraaj@uhsm.nhs.uk

Shaojie Chen

Department of Cardiology, Shanghai First People’s Hospital, Shanghai Jiao Tong University School of Medicine, Shanghai, China

Department of Cardiology, Elisabethinen University Teaching Hospital Linz, Linz, Austria

DOI: 10.15761/NRD.1000125

Article
Article Info
Author Info
Figures & Data

Abstract

Aim: To assess the hypothesis that chronic kidney disease (CKD) may affect the incidence of AF, the present study investigated the influence of renal impairment and CKD on the new onset of AF in this population.

Methods: A cohort of inividuals received standard therapy for treatment of sinus node disease (SND), and second- or third-degree atrioventricular block (AVB), DDDR pacemaker implantation. The maximum follow-up period was 6 years after the implantation procedure.

Results: CKD, age, hypertension, smoking, left ventricular mass index (LVMI), left atrial diameter (LAD), and pacemakers implanted due to 2nd or 3rd degree AVB were significantly different (defined as P<0.1) between the no CKD and CKD population in the univariate Cox logistic regression model.  All of them except hypertension were significant (P<0.05) in the multivariate Cox logistic regression model. Independent predictors of AF incidence were re-examined by stepwise regression analysis including all clinical and echocardiographic variables as possible independent factors. The presence of CKD as well as age, smoking, LVMI, LAD, and AVB was an independent predictor of new-onset AF (age, hazard ratio (HR): 1.031, 95% confidence interval (CI): 1.023 – 1.038, P<0.0001; smoking, HR: 1.315, 95%CI: 1.110 - 1.558, P=0.0020; LVMI, HR:1.017, 95%CI: 1.013 – 1.020, P=0.0020; LAD, HR: 1.281, 95%CI: 1.241 - 1.322, P<0.0001; AVB, HR: 1.240, 95%CI: 1.087 – 1.415, P=0.0010; and CKD, HR: 2.073, 95%CI: 1.616 – 2.660, P<0.0001). The association of CKD stages with the incidence of AF was lastly evaluated by the univariate Cox analysis, the occurrence of new-onset AF was significantly increased in the participant groups with CKD stage 3, 4 and 5 before and after adjustment for confounding factors, being significantly associated with the increased incidence of AF.

Conclusions: The present study demonstrated that CKD was associated with an increased risk of new onset AF in patients with pacemakers and that the impact of CKD on the incidence of AF was independent of LV hypertrophy and LA dilatation. In particular, moderate to later stages of CKD were strongly related to the increasing occurrence of AF. 

Key words

Chronic kidney disease; Pacemaker; Atrial fibrillation; Pacing; Left atrial diameter; Left ventricular mass index

Introduction

Atrial fibrillation (AF) disturbs around 2% of the people worldwide, and this percentage will rise in the following 50 years [1,2]. The prevalence of AF is greater in elder people, reaching 0.5% at 40 to 50 years old and fluctuating from 5% to 15% at 80 years old [1-5]. Men usually progress AF more recurrently than do women. By 40 years old, the lifetime danger of rising AF is almost 25% [6]. AF commonly complicates chronic kidney disease (CKD) and is related to adversative outcomes. Progression of end-stage renal disease is a main problem of CKD, and the occurrence of AF is related to a higher risk of developing the end-stage renal disease in patients with CKD [7]. Older age, blood pressure levels, especially ambulatory systolic blood pressure, increased left ventricular (LV) mass and increased left atrial (LA) size have been known to be risk factors for the onset of AF in hypertensive patients [8–11].

Renal damage is a potent predictor of cardiovascular projection. Decreased estimated glomerular filtration rate (eGFR) is clearly associated with the increase in future cardiovascular events [12]. Proteinuria, even microalbuminuria, also increases the risk of cardiovascular events and death [13]. Thus, the involvement of renal impairment in the development of cardiovascular disease has recently been noticed. However, no study has shown the association between the onset of AF and renal impairment in patients with a pacemaker. To assess the hypothesis that chronic kidney disease (CKD) may affect the incidence of AF, the present study investigated the influence of renal impairment and CKD on the new onset of AF in this population.

Methods

Study design

This observational, forthcoming evaluation was shepherded at the Divison of Cardiac Pacing of the Hospital e Clínica São Gonçalo. A cohort of inividuals received standard therapy for treatment of SND, and second- or third-degree atrioventricular block (AVB), DDDR pacemaker implantation. The maximum follow-up period was 6 years after the implantation procedure. The study inclusion criteria were as follows: (i) patients did not have electrocardiogram-documented AF or a previous history of paroxysmal AF; (ii) patients provided documentation of no cardiac ischemia before pacemaker implantation as proven by a myocardial scintigraphy at rest and during stress, a cardiac magnetic resonance imaging at rest and during stress, or pharmacological stress echocardiography; (iii) patients had a left ventricular ejection fraction (LVEF) ≥50% as measured by echocardiography; (iv) tests showing that the patients had SND (symptomatic bradycardia; documented sino-atrial block or sinus arrest with pauses >3 s or sinus bradycardia <40 bpm for >1 min while awake) or  tests showing that patients had second- or third-degree AVB before pacemaker implantation; (v) Absence or presence of CKD, which was defined as decreased estimated glomerular filtration rate (eGFR) less than 60 ml/min/1.73m2 and/or the presence of albuminuria/proteinuria. The classification of CKD stages was performed according to the guidelines of the National Kidney Foundation classification of CKD [14] as follows; eGFR ≥90 ml/min/1.73m2 with proteinuria (stage 1), eGFR between 60 and 89 ml/min/1.73m2 with proteinuria (stage 2), and stages 3, 4, and 5 were classified by the levels of eGFR (30–59, 15–29, and <15 ml/min/1.73m2, respectively), regardless of the presence of proteinuria.

Exclusion criteria were as follows: (i) ischemic heart disease; (ii) an LVEF <50%; (iii) heart valvar disease that may lead to AF; and (iv) symptoms suggestive of AF.

Enrolment of patients started in January 2009 and was terminated in January 2015. Patients were followed up until January 2017, and they were identified at our offices. The study was conducted in accordance with the Helsinki Declaration and was approved by the Ethics Committee of our hospital. All of the patients gave written informed consent before inclusion.

Implantation and programing of pacemakers

As a routine practice in our department, bipolar leads were implanted in the appendage of the right atrium and in the high septal region of the right ventricle. DDDR pacemakers from St. Jude Medical (St. Jude Medical, St. Paul, Minnesota, USA) and Medtronic (Medtronic, Palo Alto, CA, USA) were used. The rate adaptive function was activated in all of the pacemakers and programed with a lower rate of 60 bpm and an upper rate of 120 bpm In all of the pacemakers, we programed the paced atrioventricular interval to 140–220 ms and turned on the AV delay management algorithm that automatically searches for intrinsic conduction to prevent unnecessary right ventricular pacing for the individuals with SND. The maximum tracking rate was individualized, and the auto mode switch (AMS) function was activated. AMS occurred when the atrial rate exceeded 170–180 bpm for a specific number of beats or period of time. The atrial tachycardia/atrial fibrillation (AT/AF) diagnostic suite provided detailed historical data, allowing us to identify and evaluate therapy for improved management of patients. Atrial sensitivity was programed to 0.5 mV.

Definition of atrial fibrillation

AF was defined as at least one episode of atrial irregular activity recorded by the atrial channel lasting ≥30 s.

Patients’ follow-up

Patients were evaluated 15 days after pacemaker implantation to assess the pocket, the site of the surgical incision, and to adjust the programing of the pacemaker. Fifteen days later, the patients returned for reassessment (1 month after pacemaker implantation). Data were obtained from the pacemaker at 1 month post implant. Thereafter, patients were assessed every 6 months up to 6 years of follow-up. At each follow-up visit, we obtained a record (stored on a USB stick and then transferred to a computer) of the pacemaker memory data that had accumulated since the previous resetting of the memory. The occurrence and duration of AMS events were recorded. The onset of the first AF episode was also registered in each patient’s data record. Time to AF onset was defined as the number of days from baseline to the first recorded episode of AF lasting ≥30 s. Patients were censored due to death, loss to follow-up, or 6 years post-implant. According to our standard of care, all of the patients underwent echocardiography at baseline. Blood and urine samples collected for evaluating renal function, twenty-four-hour ABPM, and a transthoracic echocardiogram was performed at to distinguish CKD patients from those ones without CKD.

Twenty-four-hour ABPM

The ABPM was performed for 24 hours with a clinically validated device (CardioMapa; Cardios, São Paulo, Brazil) at baseline. The device was designed to measure every 15 minutes during daytime (from 6 to 22 hours) and every 30 minutes during the night (from 22 to 6 hours). The patients were instructed to continue their regular activities during recording and go to bed not later than 23:00 hours. The wakefulness ranged from 8 to 22 hours and the sleep period from midnight till 6:00 am [15]. All subjects were trained to record in a diary the hours during which they took their meals, as well as periods of sleep and wakefulness, ingestion of drugs, in addition to symptoms and events that could influence blood pressure during this period. The measurements were transferred to a computer for analysis. The monitoring was repeated as necessary until ≥70% of the day and night values measured were satisfactory [16].

Transthoracic Echocardiography

The transthoracic echocardiography was performed at baseline using the ultrasound system Vivid I (General Electric, Frankfurt, Germany) equipped with a transducer multi-frequency and tissue Doppler with image software, according to the Guidelines of the American Society of Echocardiography [17]. The data were analyzed and interpreted by an experienced echocardiographer, who was unaware of the state of treatment and the sequence of images. The left ventricular mass (LVM) was calculated from the linear dimensions of the LV, using the formula of Devereux [17, 18]. The LV mass was indexed to body surface area [17, 19]. The LV hypertrophy was considered present when the LV mass has exceeded 115 g/m2 for men and 95 g/m2 for women [17].

Statistical Analysis

All enrolled patients were included in the analyses. Variables were compared between two groups using analysis of variance (ANOVA) for continuous measures and the χ2 test or Fisher’s exact test for categorical variables. Correlations between two variables were performed by Pearson in the case of a Gaussian distribution or, alternatively, with the Spearman correlation test. AF event-free curves were derived by means of the Kaplan–Meier method and were compared by log-rank test. Possible predictors of new-onset AF were tested by univariate Cox proportional hazards regression analysis. Then, a multivariate analysis was applied to identify independent predictors and their predictive power. Independent predictors of AF incidence were also evaluated by using a stepwise regression analysis. All statistical tests were two-tailed, and a P value of <0.05 was considered to indicate statistical significance. All statistical analyses were performed using SPSS v 18.0.

Results

Patient’s features

The 2,262 patients who presented the inclusion criteria were included in the study. The baseline characteristics, like age, body mass index, gender, ethnicity and other features of the patients in the two groups, divided by CKD status are disposed of in detail in Table 1.

Table 1.  General features of patients at baseline.

Parameters

Overall

No CKD

CKD

P value

N

2,262

1,178

1,084

---

Age, years

67±13

63±12

71±13

<0.0001

Body mass index, kg/m2

27.1±4.8

27.2±4.1

26.9±5.4

0.1350

Female gender (%)

1,389 (61%)

756 (64%)

633 (58%)

0.0050

White ethnicity (%)

1,675 (74%)

873 (74%)

784 (72%)

0.3421

Dual chamber pacemaker

2,262 (100%)

1,178 (100%)

1,084 (100%)

1.0000

Hypertension

717 (32%)

294 (25%)

423 (39%)

<0.0001

Smoking

810 (36%)

292 (25%)

518 (48%)

<0.0001

Type 2 Diabetes Mellitus

560 (25%)

297 (25%)

263 (24%)

0.6259

Coronary artery disease

646 (29%)

276 (23%)

370 (34%)

<0.0001

2nd or 3rd degree AVB

926 (41%)

346 (29%)

580 (54%)

<0.0001

Creatinine, mg/dL

0.85±0.18

0.72±0.61

1.48±0.20

<0.0001

eGFR, mL/min/1.73 m2

80.5±32.5

100.0±13.5

59.4±33.8

<0.0001

Albumin:creatinine ratio, mg/g

54.3±23.9

10.0±13.0

98.5±30.4

<0.0001

Echocardiographic parameters

 

 

 

 

     Left atrial diameter, mm

40.1±6.5

38.0±6.1

42.3±6.2

<0.0001

     LVEF, Simpson (%)

63.7±7.9

63.4±7.2

64.0±7.5

0.0695

     LVEDD, mm

56.9±6.7

56.7±5.2

57.2±8.0

0.0759

     LV mass index, g/m2

108.7±29.2

99.1±26.0

119.1±28.9

<0.0001

Values are expressed as mean ± SD or n (%); AVB, atrioventricular block; CKD, chronic kidney disease; eGFR, estimated glomerular filtration rate; LV, left ventricular; LVEDD, left ventricular  end-diastolic diameter; LVEF, left ventricular ejection fraction.

Effect of CKD on the incidence of AF

The mean time of follow-up for all subjects  was 4.6±1.9 years, for the no CKD patients this period was 5.3±1.5 years, while in CKD individuals it was 3.9±1.4 years (P<0.0001 for no CKD vs. CKD patients), as shown in Table 2. The percentage of incidence of AF during the follow up, as well as, the percentage of incidence of AF per year were higher in CKD population, and are also displayed in Table 2. Figure 1 shows the percentage of AF event-free rate during the follow-up period, presenting 69% of AF event-free rate in no CKD subjects vs. 34% in CKD ones, P<0.0001 by log-rank test.

Table 2. Incidence of atrial fibrillation during the follow-up (%).

Variables

No CKD

CKD

P value

 

Mean time of follow-up, years

5.3±1.5

3.9±2.1

<0.0001

Incidence of AF during the follow up (%)

31%

66%

<0.0001

Incidence of AF per year (%)

5.8%

16.9%

<0.0001

AF, atrial fibrillation.

Table 3. Predictors of new-onset atrial fibrillation by univariate and multivariate Cox regression analysis.

Variables

P value

Hazard ratio

95% Confidence Interval

Lower

Upper

Univariate analysis

 

 

 

CKD

<0.0001

3.2000

2.8110

3.6440

Age

<0.0001

1.0170

1.0090

1.0250

Gender

0.4620

0.9520

0.8340

1.0860

Hypertension

0.0560

0.8640

0.7450

1.0040

Smoking

<0.0001

1.6750

1.3970

2.0070

Coronary artery disease

0.6870

121.509

0.0001

165.224

Type 2 Diabetes Mellitus

0.6610

0.0005

0.0001

734.590

LV mass index

<0.0001

1.0150

1.0110

1.0180

LAD

<0.0001

1.2790

1.2360

1.3230

2nd or 3rd degree AVB

0.0013

1.4710

1.0830

1.9980

Multivariate analysis

 

 

 

 

CKD

<0.0001

2.7530

2.4380

3.1080

Age

<0.0001

1.0300

1.0220

1.0370

Smoking

<0.0001

1.3980

1.1740

1.6640

LV mass index

<0.0001

1.0170

1.0130

1.0200

LAD

<0.0001

1.2850

1.2450

1.3270

2nd or 3rd degree AVB

<0.0001

1.9960

1.5500

2.5690

AVB, atrioventricular block; LAD, left atrial diameter; LV, left ventricular.

Figure 1: Atrial fibrillation (AF) event-free Kaplan–Meier curves in the two groups without and with chronic kidney disease (CKD). AF event-free rates in the non-CKD group and CKD group were 69 and 34%, respectively (log–rank test, P<0.0001).

Predictors of new-onset atrial fibrillation

As shown in Table 4, CKD, age, hypertension, smoking, left ventricular mass index (LVMI), left atrial diameter (LAD), and pacemakers implanted due to 2nd or 3rd degree AVB were significantly different (defined as P<0.1) between the no CKD and CKD population in the univariate Cox logistic regression model.  All of them except hypertension were significant (P<0.05) in the multivariate Cox logistic regression model. Independent predictors of AF incidence were re-examined by stepwise regression analysis including all clinical and echocardiographic variables as possible independent factors. The presence of CKD as well as age, smoking, LVMI, LAD, and AVB was an independent predictor of new-onset AF (age, hazard ratio (HR): 1.031, 95% confidence interval (CI): 1.023 – 1.038, P<0.0001; smoking, HR: 1.315, 95%CI: 1.110 - 1.558, P=0.0020; LVMI, HR:1.017, 95%CI: 1.013 – 1.020, P=0.0020; LAD, HR: 1.281, 95%CI: 1.241 - 1.322, P<0.0001; AVB, HR: 1.240, 95%CI: 1.087 – 1.415, P=0.0010; and CKD, HR: 2.073, 95%CI: 1.616 – 2.660, P<0.0001).

CKD stages and the incidence of AF

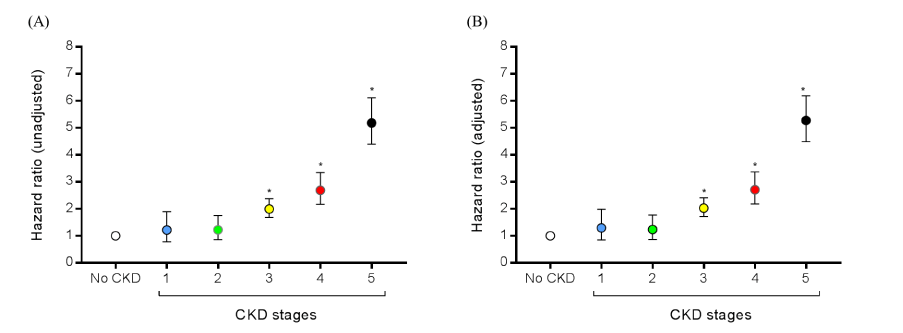
The significant correlation between eGFR and years for AF onset is presented in Figure 2, r=0.7686, 95% confidence interval=0.7430 – 0.7920, and P<0.0001, by Pearson’s method. The association of CKD stages with the incidence of AF was lastly evaluated by the univariate Cox analysis, the occurrence of new-onset AF was significantly increased in the participant groups with CKD stage 3, 4 and 5 before and after adjustment for confounding factors, being significantly associated with the increased incidence of AF (Figure 3 A and B, respectively).

Figure 2: The significant correlation between estimated glomerular filtration rate (eGFR) and years for atrial fibrillation (AF) onset, r=0.7686, 95% confidence interval=0.7430 – 0.7920, and P<0.0001, by Pearson’s method.

Figure 3: Relation of chronic kidney disease (CKD) stages to the incidence of atrial fibrillation (AF) ssessed by univariate (A) and multivariate (B) Cox regression analysis. Respective data present hazard ratios and the 95% confidence intervals (vertical lines) in the groups without CKD (n=1178) and with CKD stages 1 (n=452), 2 (n=201), 3 (n=79), 4 (n=44), and 5 (n=308). In the multivariate analysis, all variables that had a significant association in the univariate analysis were included as confounding factors. *P<0.0001 vs. No CKD.

Discussion

Our results showed that CKD presence is longitudinally related with the incidence of new-onset AF in patients with pacemakers. This finding indicates that previous existing CKD has an important effect on new-onset AF in this population.

Recently, Watanabe and colleagues reported that decreased baseline eGFR was associated with an increased risk of subsequent new onset AF in a large scale of community-based cohort [20]. The findings of Horio and colleagues study [21] are fundamentally consistent with these observations, in agreement with our data. In hypertensive patients, it has been revealed that age, systolic blood pressure, LV mass, and LA size are related to the incidence of AF [8–11, 22]. Thus, there was the possibility that some of these factors might mediate the association between CKD and AF incidence observed in our and other studies, because GFR generally decreases with age, and sympathethic activity [21] augmented by renal dysfunction directly increases LV mass and LA size. In fact, the present patients with CKD had older age, greater LVMI, LAD, pacemakers implanted due to 2nd or 3rd degree AVB compared with those without CKD. In addition, age, hypertension, smoking, pacemakers implanted due to 2nd or 3rd degree AVB, LVMI, and LAD, as well as CKD, were relating factors to the incidence of AF in the univariate Cox regression analysis of this study. By the multivariate analysis, however, the association of CKD with new-onset AF was warranted to be still significant independently of these confounders, although the adjusted hazard ratio of CKD for AF incidence was diminished compared to the crude risk ratio before adjustment. Therefore, the present study has also demonstrated that the existence of CKD in patients with pacemakers is an independent predictor of new-onset AF, apart from the effects of aging, smoking, LVMI, LAD, and AVB. An enlarged LAD might be due to augment intracavitary pressure and probable scar tissue areas on the left atrium

Horio and colleagues reported that the incidence of new-onset AF was clearly associated with the decrease in eGFR [21]. In fact, CKD stages 3, 4 and 5 were a significant predictor of incident AF before and after adjustment for confounding factors by the uni and multivariate analysis, respectively. The increased risk of developing AF in CKD is multifactorial; one of them may be related in part to activation of signaling pathways of inflammation, because previous studies have shown that renal insufficiency is associated with elevations of inflammatory markers such as C-reactive protein [23] and that C-reactive protein predicts increased risk for developing future AF [24]. Possible involvement of oxidative stress and endothelial dysfunction in the development of AF has also been shown [25,26]. Since the patients with chronic renal failure have increased levels of oxidative stress markers and impaired endothelial function [27], oxidative stress and endothelial dysfunction caused by renal impairment may be involved in the augmented danger of new-onset AF in CKD people. In addition, these mechanisms might be also involved in the association between smoking habit and incident AF observed in the present study, because smoking is known to increase oxidative stress and deteriorate endothelial function. We can speculate as the second mechanism may be the sympathetic overactivity of CKD contributing from the premature clinical stage of the disease, showing a direct relationship with the severity of the condition of renal failure [28-31]. As the decrease in the glomerular filtration rate occurs, there is also an increase in cardiovascular events and mortality in patients with CKD [32], especially due to arrhythmias and their consequences. Kidney disease induces cardiac remodeling, including left ventricular hypertrophy (LVH), and cardiac fibrosis, showing an independent association between CKD and LVH [33-36]. Specifically, there is a progressive increase in the prevalence of LVH and increased left ventricular mass when the glomerular filtration rate decreases. In addition, among participants with CKD most advanced dialysis, magnetic resonance imaging (MRI) contrast exhibits a diffuse pattern image with gadolinium uptake, suggestive of fibrosis and non-ischemic cardiomyopathy [37]. The pathogenesis of these conditions is considered manifold [38-40]. CKD is also associated with vascular disease, including calcification and inurement of the blood vessels [41-44]. The decrease in glomerular filtration rate and endothelial dysfunction are inter-related processes that reduce vascular elasticity and subsequently increase ischemic events. Human studies have shown that impaired vasodilation, which is dependent on endothelium is associated with mild renal insufficiency [45, 46]. If untreated, these conditions progress independently and establish a cyclical relationship that results in vascular and renal damage. Subsequently, remodeling and sclerosis of the vessels can compromise perfusion reserve and increase the risk of ischemic events [47] that are common triggering factors for the onset of arrhythmias. Further, structural changes can alter the electrophysiological properties of the myocardium. The myocardial fibrosis disrupts the normal architecture and results in a decrease in conduction velocity through the diseased tissue [48]. This condition can custom heterogeneous areas of conduction and depolarization that can sustain some arrhythmias, such as atrial fibrillation [41]. In the dependent reentrant arrhythmias scars, heterogeneous areas forming electrical conduction, renal failure also increases the risk of automatic arrhythmia or triggered by other trigger points [49].

The third mechanism for the increased incidence of AF should be the higher ventricular pace (VP) % in subjects having pacemakers implanted due to 2nd or 3rd degree AVB, and its remnants uncertain. Nonetheless, hemodynamics are thought to be tangled. Right VP leads to LV remodeling, intensifications mitral regurgitation, and discreetly reduces ejection fraction [50]. Moreover, changing the relationship between atrial and ventricular timing, as can occur with VP, increases atrial pressure and causes stretch-related changes. This may increase the incidence of AF [51].

Limitations

The occurrence of AF may sometimes lead to under-sensing in the atrium and thus inappropriate AP. Moreover, some comorbid conditions, such as the predictive ones aforementioned contribute to the onset of AF, and there was a possibility that the obtained findings in this study might be limited to the Brazilian people. Further studies are needed to validate our results in other populations.

Conclusion

In conclusion, the present study demonstrated that CKD was associated with an increased risk of new onset AF in patients with pacemakers and that the impact of CKD on the incidence of AF was independent of LV hypertrophy and LA dilatation. In particular, moderate to later stages of CKD were strongly related to the increasing occurrence of AF.

Compliance with Ethical Standards

All procedures performed in studies involving human participants were in accordance with the ethical standards of the institutional and/or national research committee and with the 1964 Helsinki declaration and its later amendments or comparable ethical standards. Informed consent was obtained from all individual participants included in the study

Funding

The study was sponsored by Pacemed (U$ 240,000).

Conflict of interest

The authors declare that they have no conflict of interest.

Acknowledgements

The authors thank all the participants in this study and Pacemed for the technical support. The study was sponsored by health insurance plans of the state of Rio de Janeiro and Pacemed.

References

    2021 Copyright OAT. All rights reserv
  1. Stewart S, Hart CL, Hole DJ, McMurray JJ (2001) Population prevalence, incidence, and predictors of atrial fibrillation in the Renfrew/Paisley study. Heart 86: 516–521. [crossref]
  2. Go AS, Hylek EM, Phillips KA, Chang Y, et al.  (2001) Prevalence of diagnosed atrial fibrillation in adults: national implications for rhythm management and stroke prevention: the AnTicoagulation and Risk Factors in Atrial Fibrillation (ATRIA) Study. JAMA 285: 2370–2375. [crossref]
  3. Miyasaka Y, Barnes ME, Gersh BJ, Cha SS, Bailey KR, et al. (2006) Secular trends in incidence of atrial fibrillation in Olmsted County, Minnesota, 1980 to 2000, and implications on the projections for future prevalence. Circulation 114: 119–125. [crossref]
  4. Heeringa J, van der Kuip DA, Hofman A, Kors JA, van Herpen G, et al. (2006) Prevalence, incidence and lifetime risk of atrial fibrillation: the Rotterdam study. Eur Heart J 27: 949-953. [crossref]
  5. Naccarelli GV, Varker H, Lin J, Schulman KL (2009) Increasing prevalence of atrial fibrillation and flutter in the United States. Am J Cardiol 104: 1534-1539. [crossref]
  6. Lloyd-Jones DM, Wang TJ, Leip EP, Larson MG, Levy D, et al. (2004) Lifetime risk for development of atrial fibrillation: the Framingham Heart Study. Circulation 110: 1042–1046. [crossref]
  7. Bansal N, Xie D, Tao K, Chen J, Deo R, et al. (2016) Atrial Fibrillation and Risk of ESRD in Adults with CKD. Clin J Am Soc Nephrol 11: 1189-1196. [crossref]
  8. Ciaroni S, Cuenoud L, Bloch A (2000) Clinical study to investigate the predictive parameters for the onset of atrial fibrillation in patients with essential hypertension. Am Heart J 139: 814–819. [crossref]
  9. Verdecchia P, Reboldi G, Gattobigio R, Bentivoglio M, Borgioni C, et al. (2003) Atrial fibrillation in hypertension: predictors and outcome. Hypertension 41: 218-223. [crossref]
  10. Ciaroni S, Bloch A, Lemaire MC, Fournet D, Bettoni M (2004) Prognostic value of 24-h ambulatory blood pressure measurement for the onset of atrial fibrillation in treated patients with essential hypertension. Am J Cardiol 94: 1566–1569.
  11. Okin PM, Wachtell K, Devereux RB, Harris KE, Jern S, et al. (2006) Regression of electrocardiographic left ventricular hypertrophy and decreased incidence of new-onset atrial fibrillation in patients with hypertension. JAMA 296:1242–1248. [crossref]
  12. Go AS, Chertow GM, Fan D, McCulloch CE, Hsu CY (2004) Chronic kidney disease and the risks of death, cardiovascular events, and hospitalization. N Engl J Med 351: 1296-1305. [crossref]
  13. Gerstein HC, Mann JF, Yi Q, Zinman B, Dinneen SF, et al. (2001) Albuminuria and risk of cardiovascular events, death, and heart failure in diabetic and nondiabetic individuals. JAMA 286: 421-426. [crossref]
  14. National Kidney Foundation (2002) K/DOQI clinical practice guidelines for chronic kidney disease: evaluation, classification, and stratification. Am J Kidney Dis 39: S1–S266. [crossref]
  15. Mancia G, De Backer G, Dominiczak A, Cifkova R, Fagard R, et al. (2007) Management of Arterial Hypertension of the European Society of Hypertension; European Society of Cardiology. Management of Arterial Hypertension of the European Society of Hypertension-European Society of Cardiology: 2007 Guidelines for the Management of Arterial Hypertension: The Task Force for the Management of Arterial Hypertension of the European Society of Hypertension (ESH) and of the European Society of Cardiology (ESC). J Hypertens 25: 1105–1187. [crossref]
  16. Stergiou GS, Kollias A, Destounis A, Tzamouranis D (2012) Automated blood pressure measurement in atrial fibrillation: a systematic review and meta-analysis. J Hypertens 30: 2074-2082. [crossref]
  17. Lang RM, Bierig M, Devereux RB, Flachskampf FA, Foster E, et al. (2005) Chamber Quantification Writing Group; American Society of Echocardiography's Guidelines and Standards Committee; European Association of Echocardiography: Recommendations for chamber quantification: a report from the American Society of Echocardiography's Guidelines and Standards Committee and the Chamber Quantification Writing Group. J Am Soc Echocardiogr 18: 1440-1463. [crossref]
  18. Devereux RB, Alonso DR, Lutas EM, Gottlieb GJ, Campo E, et al. (1986) Echocardiographic assessment of left ventricular hypertrophy: comparison to necropsy findings. Am J Cardiol 57: 450-458. [crossref]
  19. Mosteller RD (1987) Simplified calculation of body-surface area. N Engl J Med 317: 1098. [crossref]
  20. Watanabe H, Watanabe T, Sasaki S, Nagai K, Roden DM, et al. (2009) Close bidirectional relationship between chronic kidney disease and atrial fibrillation: the Niigata preventive medicine study. Am Heart J 158: 629–636. [crossref]
  21. Horio T, Iwashima Y, Kamide K, Tokudome T, Yoshihara F, et al. (2010) Chronic kidney disease as an independent risk factor for new-onset atrial fibrillation in hypertensive patients. J Hypertens 28: 1738-1744. [crossref]
  22. Wachtell K, Lehto M, Gerdts E, Olsen MH, Hornestam B, et al. (2005) Angiotensin II receptor blockade reduces new-onset atrial fibrillation and subsequent stroke compared to atenolol: the Losartan Intervention For End Point Reduction in Hypertension (LIFE) study. J Am Coll Cardiol 45: 712–719. [crossref]
  23. Shlipak MG, Fried LF, Crump C, Bleyer AJ, Manolio TA, et al. (2003) Elevations of inflammatory and procoagulant biomarkers in elderly persons with renal insufficiency. Circulation 107:87–92. [crossref]
  24. Aviles RJ, Martin DO, Apperson-Hansen C, Houghtaling PL, Rautaharju P, et al. (2003) Inflammation as a risk factor for atrial fibrillation. Circulation 108: 3006-3010. [crossref]
  25. Huang CX, Liu Y, Xia WF, Tang YH, Huang H (2009) Oxidative stress: a possible pathogenesis of atrial fibrillation. Med Hypotheses 72: 466-467. [crossref]
  26. Cengel A, Sahinarslan A, BiberoÄŸlu G, HasanoÄŸlu A, Tavil Y, et al. (2008) Asymmetrical dimethylarginine level in atrial fibrillation. Acta Cardiol 63: 33-37. [crossref]
  27. Annuk M, Zilmer M, Lind L, Linde T, Fellström B (2001) Oxidative stress and endothelial function in chronic renal failure. J Am Soc Nephrol 12: 2747-2752. [crossref]
  28. Tinucci T, Abrahao SB, Santello JL, Mion D Jr (2001) Mild chronic renal insufficiency induces sympathetic overactivity. J Hum Hypertens 15: 401-406. [crossref]
  29. Schlaich MP, Socratous F, Hennebry S, Eikelis N, Lambert EA, et al. (2009) Sympathetic activation in chronic renal failure. J Am Soc Nephrol 20: 933-939. [crossref]
  30. Neumann J, Ligtenberg G, Klein II, Koomans HA, Blankestijn PJ (2004) Sympathetic hyperactivity in chronic kidney disease: pathogenesis, clinical relevance, and treatment. Kidney Int. 65: 1568-1576. [crossref]
  31. Grassi G, Bertoli S, Seravalle G (2012) Sympathetic nervous system: role in hypertension and in chronic kidney disease. Curr Opin Nephrol Hypertens 21: 46-51. [crossref]
  32. Epstein AE, DiMarco JP, Ellenbogen KA, Estes NA, 3rd, Freedman RA, Gettes LS, et al. (2008) ACC/AHA/HRS 2008 Guidelines for Device-Based Therapy of Cardiac Rhythm Abnormalities: a report of the American College of Cardiology/American Heart Association Task Force on Practice Guidelines (Writing Committee to Revise the ACC/AHA/NASPE 2002 Guideline Update for Implantation of Cardiac Pacemakers and Antiarrhythmia Devices): developed in collaboration with the American Association for Thoracic Surgery and Society of Thoracic Surgeons. Circulation 117: e350-408. [crossref]
  33. Cerasola G, Nardi E, Mule G, Palermo A, Cusimano P, et al. (2010) Left ventricular mass in hypertensive patients with a mild-to-moderate reduction of renal function. Nephrology (Carlton). 15: 203-210.
  34. Levin A, Thompson CR, Ethier J, Carlisle EJ, Tobe S, et al. (1999) Left ventricular mass index increase in early renal disease: impact of decline in hemoglobin. Am J Kidney Dis 34: 125-134. [crossref]
  35. Paoletti E, Bellino D, Cassottana P, Rolla D, Cannella G (2005) Left ventricular hypertrophy in nondiabetic predialysis CKD. Am J Kidney Dis 46: 320-327. [crossref]
  36. Moran A, Katz R, Jenny NS, Astor B, Bluemke DA, et al. (2008) Left ventricular hypertrophy in a mild and moderate reduction in kidney function determined using cardiac magnetic resonance imaging and cystatin C: the multi-ethnic study of atherosclerosis (MESA). Am J Kidney Dis 52: 839-848. [crossref]
  37. Sarnak MJ, Katz R, Stehman-Breen CO, Fried LF, Jenny NS, et al. (2005) Cystatin C concentration as a risk factor for heart failure in older adults. Ann Intern Med 142: 497-505. [crossref]
  38. Cioffi G, Tarantini L, Frizzi R, Stefanelli C, Russo TE, et al. (2011) Chronic kidney disease elicits an excessive increase in left ventricular mass growth in patients at increased risk for cardiovascular events. J Hypertens 29: 565-573. [crossref]
  39. Schroeder AP, Kristensen BO, Nielsen CB, Pedersen EB. (1997) Heart function in patients with chronic glomerulonephritis and mildly to moderately impaired renal function. An echocardiographic study. Blood Press 6: 286-293. [crossref]
  40. Hunter JJ, Chien KR (1999) Signaling pathways for cardiac hypertrophy and failure. N Engl J Med 341: 1276-1283. [crossref]
  41. Pai AS, Giachelli CM (2010) Matrix remodeling in vascular calcification associated with chronic kidney disease. J Am Soc Nephrol 21: 1637-1640.
  42. Briet M, Collin C, Karras A, Laurent S, Bozec E, et al. (2011) Arterial remodeling associates with CKD progression. J Am Soc Nephrol 22: 967-974. [crossref]
  43. Hu MC, Shi M, Zhang J, Quinones H, Griffith C, et al. (2011) Klotho deficiency causes vascular calcification in chronic kidney disease. J Am Soc Nephrol 22: 124-136.
  44. Shroff R, Shanahan CM (2011) Klotho: an elixir of youth for the vasculature? J Am Soc Nephrol 22: 5-7. [crossref]
  45. Perticone F, Maio R, Tripepi G, Zoccali C (2004) Endothelial dysfunction and mild renal insufficiency in essential hypertension. Circulation 110: 821-825. [crossref]
  46. Perticone F, Maio R, Perticone M, Sciacqua A, Shehaj E, (2010) et al. Endothelial dysfunction and subsequent decline in glomerular filtration rate in hypertensive patients. Circulation 122: 379-384.
  47. Kingwell BA, Waddell TK, Medley TL, Cameron JD, Dart AM (2002) Large artery stiffness predicts ischemic threshold in patients with coronary artery disease. J Am Coll Cardiol 40: 773-779.
  48. Waldo AL, Plumb VJ, Arciniegas JG, MacLean WA, Cooper TB, et al. (1983) Transient entrainment and interruption of the atrioventricular bypass pathway type of paroxysmal atrial tachycardia. A model for understanding and identifying reentrant arrhythmias. Circulation 67: 73-83. [crossref]
  49. Brotman DJ, Bash LD, Qayyum R, Crews D, Whitsel EA, et al. (2010) Heart rate variability predicts ESRD and CKD-related hospitalization. J Am Soc Nephrol 21: 1560-1570. [crossref]
  50. Yu CM, Chan JY, Zhang Q, Omar R, Yip GW, et al. (2009) Biventricular pacing in patients with bradycardia and normal ejection fraction. N Engl J Med 361: 2123-2134. [crossref]
  51. Klein LS, Miles WM, Zipes DP (1990) Effect of atrioventricular interval during pacing or reciprocating tachycardia on atrial size, pressure, and refractory period. Contraction excitation feedback in human atrium. Circulation 82: 60-68.

Article Type

Research Article

Publication history

Received date: March 10, 2017
Accepted date: April 14, 2017
Published date: April 18, 2017

Copyright

© 2017 Kiuchi MG.This is an open-access article distributed under the terms of the Creative Commons Attribution License, which permits unrestricted use, distribution, and reproduction in any medium, provided the original author and source are credited.

Citation

Kiuchi MG, Shaojie Chen (2017) Predictors for atrial fibrillation onset in CKD patients with pacemaker. Nephrol Renal Dis, 2017 DOI: 10.15761/NRD.1000125

Corresponding author

Márcio Galindo Kiuchi

Division of Cardiac Pacing, Department of Medicine, Hospital e Clínica São Gonçalo, São Gonçalo, RJ, Brazil, Tel:+55 (21) 26047744;

E-mail : bhuvaneswari.bibleraaj@uhsm.nhs.uk

Figure 1: Atrial fibrillation (AF) event-free Kaplan–Meier curves in the two groups without and with chronic kidney disease (CKD). AF event-free rates in the non-CKD group and CKD group were 69 and 34%, respectively (log–rank test, P<0.0001).

Figure 2: The significant correlation between estimated glomerular filtration rate (eGFR) and years for atrial fibrillation (AF) onset, r=0.7686, 95% confidence interval=0.7430 – 0.7920, and P<0.0001, by Pearson’s method.

Figure 3: Relation of chronic kidney disease (CKD) stages to the incidence of atrial fibrillation (AF) ssessed by univariate (A) and multivariate (B) Cox regression analysis. Respective data present hazard ratios and the 95% confidence intervals (vertical lines) in the groups without CKD (n=1178) and with CKD stages 1 (n=452), 2 (n=201), 3 (n=79), 4 (n=44), and 5 (n=308). In the multivariate analysis, all variables that had a significant association in the univariate analysis were included as confounding factors. *P<0.0001 vs. No CKD.

Table 1. General features of patients at baseline.

Parameters

Overall

No CKD

CKD

P value

N

2,262

1,178

1,084

---

Age, years

67±13

63±12

71±13

<0.0001

Body mass index, kg/m2

27.1±4.8

27.2±4.1

26.9±5.4

0.1350

Female gender (%)

1,389 (61%)

756 (64%)

633 (58%)

0.0050

White ethnicity (%)

1,675 (74%)

873 (74%)

784 (72%)

0.3421

Dual chamber pacemaker

2,262 (100%)

1,178 (100%)

1,084 (100%)

1.0000

Hypertension

717 (32%)

294 (25%)

423 (39%)

<0.0001

Smoking

810 (36%)

292 (25%)

518 (48%)

<0.0001

Type 2 Diabetes Mellitus

560 (25%)

297 (25%)

263 (24%)

0.6259

Coronary artery disease

646 (29%)

276 (23%)

370 (34%)

<0.0001

2nd or 3rd degree AVB

926 (41%)

346 (29%)

580 (54%)

<0.0001

Creatinine, mg/dL

0.85±0.18

0.72±0.61

1.48±0.20

<0.0001

eGFR, mL/min/1.73 m2

80.5±32.5

100.0±13.5

59.4±33.8

<0.0001

Albumin:creatinine ratio, mg/g

54.3±23.9

10.0±13.0

98.5±30.4

<0.0001

Echocardiographic parameters

 

 

 

 

     Left atrial diameter, mm

40.1±6.5

38.0±6.1

42.3±6.2

<0.0001

     LVEF, Simpson (%)

63.7±7.9

63.4±7.2

64.0±7.5

0.0695

     LVEDD, mm

56.9±6.7

56.7±5.2

57.2±8.0

0.0759

     LV mass index, g/m2

108.7±29.2

99.1±26.0

119.1±28.9

<0.0001

Values are expressed as mean ± SD or n (%); AVB, atrioventricular block; CKD, chronic kidney disease; eGFR, estimated glomerular filtration rate; LV, left ventricular; LVEDD, left ventricular  end-diastolic diameter; LVEF, left ventricular ejection fraction.

Table 2. Incidence of atrial fibrillation during the follow-up (%).

Variables

No CKD

CKD

P value

 

Mean time of follow-up, years

5.3±1.5

3.9±2.1

<0.0001

Incidence of AF during the follow up (%)

31%

66%

<0.0001

Incidence of AF per year (%)

5.8%

16.9%

<0.0001

AF, atrial fibrillation.

Table 3. Predictors of new-onset atrial fibrillation by univariate and multivariate Cox regression analysis.

Variables

P value

Hazard ratio

95% Confidence Interval

Lower

Upper

Univariate analysis

 

 

 

CKD

<0.0001

3.2000

2.8110

3.6440

Age

<0.0001

1.0170

1.0090

1.0250

Gender

0.4620

0.9520

0.8340

1.0860

Hypertension

0.0560

0.8640

0.7450

1.0040

Smoking

<0.0001

1.6750

1.3970

2.0070

Coronary artery disease

0.6870

121.509

0.0001

165.224

Type 2 Diabetes Mellitus

0.6610

0.0005

0.0001

734.590

LV mass index

<0.0001

1.0150

1.0110

1.0180

LAD

<0.0001

1.2790

1.2360

1.3230

2nd or 3rd degree AVB

0.0013

1.4710

1.0830

1.9980

Multivariate analysis

 

 

 

 

CKD

<0.0001

2.7530

2.4380

3.1080

Age

<0.0001

1.0300

1.0220

1.0370

Smoking

<0.0001

1.3980

1.1740

1.6640

LV mass index

<0.0001

1.0170

1.0130

1.0200

LAD

<0.0001

1.2850

1.2450

1.3270

2nd or 3rd degree AVB

<0.0001

1.9960

1.5500

2.5690

AVB, atrioventricular block; LAD, left atrial diameter; LV, left ventricular.