Take a look at the Recent articles

Perception of body image and tendencies of eating behaviour among adolescents

Sigita Lesinskiene

Faculty of Medicine, Clinic of Psychiatry, Vilnius University, Vilnius, Lithuania

E-mail : bhuvaneswari.bibleraaj@uhsm.nhs.uk

Virginija Karaliene

Faculty of Medicine, Clinic of Psychiatry, Vilnius University, Vilnius, Lithuania

Julija Kostecka

Faculty of Medicine, Clinic of Psychiatry, Vilnius University, Vilnius, Lithuania

Danguole Germaniene

Faculty of Medicine, Clinic of Psychiatry, Vilnius University, Vilnius, Lithuania

DOI: 10.15761/HPC.1000109

Article
Article Info
Author Info
Figures & Data

Abstract

Objective: The purpose of this study was to investigate attitude to body image and compare sex and body mass index differences in body perception among schoolchildren of 7-10 grades in Lithuania.

Method: Data was obtained from 3248 adolescents (mean age = 14.83 (SD = 1.28), 49.5% male) who fully completed self-report questionnaires. Participants were grouped and subsequently analyzed according to their body mass index and sex.

Results: Tendencies among males and females were analyzed. Overall 39.6% of the female and 11.8% of male adolescents wanted a thinner body. More females than males replied that they have tried dieting, wished to become thinner, were afraid of becoming fat or even of gaining a small amount of weight and felt not able to control their eating. However, more males answered exercising to control weight, consuming large amounts of food at once and inducing vomiting after meal.

Discussion: Findings suggest the importance of addressing aspects of negative body image, associated with different BMI categories, gender differences and disordered eating behavior in clinical settings and public health policies.

Perception of body image and tendencies of eating behavior among adolescents

Nowadays conducted studies often show that adolescents’ body image is distorted [1,2]. Teenagers, especially females, are increasingly getting more and more anxious about their constitution with their concerns culminating in weight-control behavior modifications. Throughout history and cultures changing beauty concept with people who are willing or forcifully coerced into applying measures needed to achieve ‘ideal‘ figure, which range from self-denied body of ascetic to much more curvy body desired in the times of hardship [3] finally body image is seemingly stopped by embodiment of Barbie and Ken. It is the message that ‘thin is good’ and ‘fat is bad’ which deviates people from normalised view of eating behaviour and body image.

Body image notion is defined as body shape, weight and other appearance-related attributes or as perception of information about inner self. Body image depicts accuracy of body perception and degree of satisfaction or dissatisfaction with it [4]. With body image able to affect social relationships and cognitive processes [5,6] and therefore to influence subsequent life it is important to find the prevalence and nature of weight-control measures and body image’s perception, especially among young people.

Adolescence is a critical period of life with dramatic body changes [7]. Now when more and more people think that person is beautiful, attractive and healthy only if he/she is slender and being fat is considered abominable causing fear of becoming overweight, adolescents begin to think that normal puberty is uniform with loss of weight control - in their view teenagers with normal feminine/ masculine body shape are obese, ugly, lazy loser’s incapable of self-control. Body dissatisfaction leads to negative health consequences, increased risk of obesity and usage of inappropriate methods of weight control [8].

The purpose of this study was to investigate attitude to body image and compare sex and BMI differences in body perception among schoolchildren of 7-10 grades in Lithuania.

Methods

Study design and population

Data come from large adolescent health research, a study of demographic factors, weight status, weight control behaviors, body image, strengths and difficulties, help-seeking and risk behaviors, bullying, overall health and related factors among adolescents, which was conducted during 2012 spring in Lithuania. The sample included 44 public middle and high schools in four randomly selected geographic regions of Lithuania (all schools from 3 municipalities: Kaišiadorys, Kelmė and Molėtai, 2 schools from Vilnius District municipality and 1 school from Vilnius City municipality). All pupils of 7-10 grades in every school were interviewed.  Administrational judgement towards the aims and intentions of the study was positive and all originally selected schools agreed to participate. Procedure of investigation was organized and conducted smoothly. Anonymous questionnaire was completed by 3858 participants, of whose 610 were excluded for missing height, weight, sex data and unanswered body image-related question. Of the included 3248 respondents, whose mean age was 14.83 (SD = 1.28), 1608 (49.5%) were males and 1640 (50.5%) were females. Respectively there were 758, 781, 916, 792 participants from Year 7, 8, 9, 10. This study extracted responses to the 11 questions directly related to body image.

Measures

Body mass index: Adolescents were asked to estimate their current weight and height. Previous research has verified that self-reports of height and weight are significantly correlated with objective measures [9]. Using formula (weight in kilograms divided by the height in meters squared), BMI score was calculated. BMI values were divided into the three categories and analyzed under their category: ‘Underweight’ (BMI < 18.5), ‘Normal’ (BMI = 18.5-24.9), ‘Overweight’ (BMI > 25).

Body image. 11 questions related to body image (items in tables 1-3) were included with liable responses ranging from ‘Not true’, ‘Somewhat true’ to ‘Certainly true’.

Analysis

Data were analyzed using software Statistical Package for Social Sciences (SPSS) version 20.0. The descriptive analysis included absolute numbers and percentages or means for all study variables. In the following analyses, a p < 0.05 value was considered statistically significant for two-tailed tests.

Results

Overall BMI mean was 20.23 ± 2.98, for males 19.94 ± 2.88 and for females 20.53 ± 3.04 (p < 0.001). Table 1 lists distribution of the responses to the questions among males and females. There were no statistically significant differences in the responses about drug use for weight control (p = 0.099) and weight loss because of inappropriate nutrition (p = 0.085). However, more females replied that they have tried dieting, wished to become thinner, were afraid of becoming fat or even of gaining a small amount of weight and felt not able to control their eating. 28.4% of females and 16.2% of males didn’t feel satisfied with their body. On the other hand, answers of males showed that they were more prone to use exercises as weight control measure, consume large amounts of food at once and induce vomiting after meal.

Table 1. Distribution of the responses to the questions among males and females.

 

Total % (N)

Females, % (N)

Males, % (N)

 

Items

Not true

Somewhat true

Certainly true

Not true

Somewhat true

Certainly true

Not true

Somewhat true

Certainly true

p

I would like to be thinner

51.4 (1670)

22.8 (740)

25.8 (838)

33.3 (546)

27.1 (445)

39.6 (649)

69.9 (1124)

18.3 (295)

11.8 (189)

<0.001

I exercise a lot to avoid gaining weight

48.3 (1569)

35.9 (1165)

15.8 (514)

48.8 (801)

38.5 (632)

12.6 (207)

47.8 (768)

33.1 (533)

19.1 (307)

<0.001

I have been on a diet

75.3 (2447)

10.5 (342)

14.1 (459)

62.7 (1028)

15.1 (248)

22.2 (364)

88.2 (1419)

5.8 (94)

5.9 (95)

<0.001

I am afraid of getting fat

49 (1593)

25 (812)

26 (843)

31.8 (522)

29.6 (485)

38.6 (633)

66.6 (1071)

20.3 (327)

13.1 (210)

<0.001

I have lost weight considerably over a short period of time due to not eating properly

86.3 (2804)

9.5 (307)

4.2 (137)

86.1 (1412)

9 (147)

4.9 (81)

86.6 (1392)

10 (160)

3.5 (56)

0.085

I am not happy with my body

48.1 (1563)

29.5 (959)

22.4 (726)

36.9 (605)

34.7 (569)

28.4 (466)

59.6 (958)

24.3 (390)

16.2 (260)

<0.001

It terrifies me if I gain even a little weight

74.1 (2408)

16.1 (523)

9.8 (317)

61.9 (1015)

22.6 (370)

15.5 (255)

86.6 (1393)

9.5 (153)

3.9 (62)

<0.001

I am not always able to control my eating

44.1 (1431)

32.5 (1431)

23.5 (762)

34.9 (572)

36.4 (597)

28.7 (471)

53.4 (859)

28.5 (458)

18.1 (291)

<0.001

I devour large amounts of food at one time

55.3 (1796)

29 (941)

15.7 (511)

60.3 (989)

27 (443)

12.7 (208)

50.2 (807)

31 (498)

18.8 (303)

<0.001

I have wilfully vomited after having eaten

88.7 (2880)

5.8 (190)

5.5 (178)

91.5 (1500)

3.7 (61)

4.8 (79)

85.8 (1380)

8 (129)

6.2 (99)

<0.001

I have used pharmaceuticals to control my weight (appetite restricting drugs, laxatives or diuretics)

94.3 (3064)

3 (98)

2.6 (86)

94.9 (1557)

2.4 (39)

2.7 (44)

93.7 (1507)

3.7 (59)

2.6 (42)

0.099

N = number of participants.

Of all participants 874 (26.9%) were underweight, 2184 (67.2%) of normal weight and 190 (5.8%) overweight. Table 2 shows distribution of the responses to the questions according to three groups, created by grouping BMI values by their distribution to the BMI categories. Generally increasing BMI category resulted in firmer agreement with statement.

Table 2. Distribution of the responses to the questions among underweight, normal and overweight.

 

Underweight, % (N)

Normal, % (N)

Overweight, % (N)

 

Items

Not true

Somewhat true

Certainly true

Not true

Somewhat true

Certainly true

Not true

Somewhat true

Certainly true

p

I would like to be thinner

69.1 (604)

17.6 (154)

13.3 (116)

46.7 (1019)

24.2 (528)

29.2 (637)

24.7 (47)

30.5 (58)

44.7 (85)

<0.001

I exercise a lot to avoid gaining weight

57.2 (500)

27.7 (242)

15.1 (132)

45.3 (990)

38.6 (844)

16 (350)

41.6 (79)

41.6 (79)

16.8 (32)

<0.001

I have been on a diet

82.6 (722)

6.8 (59)

10.6 (93)

73.6 (1607)

11.3 (247)

15.1 (330)

62.1 (118)

18.9 (36)

18.9 (36)

<0.001

I am afraid of getting fat

54.3 (475)

23.7 (207)

22 (192)

47.3 (1033)

24.7 (539)

28 (612)

44.7 (85)

34.7 (66)

20.5 (39)

<0.001

I have lost weight considerably over a short period of time due to not eating properly

85.7 (749)

9.8 (86)

4.5 (39)

86.2 (1883)

9.5 (208)

4.3 (93)

90.5 (172)

6.8 (13)

2.6 (5)

0.522

I am not happy with my body

54 (472)

37.3 (239)

18.6 (163)

46.6 (1018)

30.1 (657)

23.3 (509)

38.4 (73)

33.2 (63)

28.4 (54)

<0.001

It terrifies me if I gain even a little weight

81.4 (711)

11.2 (98)

7.4 (65)

72.5 (1584)

17.4 (380)

10.1 (220)

59.5 (113)

23.7 (45)

16.8 (32)

<0.001

I am not always able to control my eating

47.8 (418)

31.9 (279)

20.3 (279)

42.9 (938)

31.7 (693)

25.3 (553)

39.5 (75)

43.7 (83)

16.8 (32)

<0.001

I devour large amounts of food at one time

61 (533)

23.3 (204)

15.7 (137)

52.3 (1142)

31.5 (688)

16.2 (354)

63.7 (121)

25.8 (49)

10.5 (20)

<0.001

I have wilfully vomited after having eaten

86.4 (755)

7 (61)

6.6 (58)

89.9 (1964)

5.1 (112)

4.9 (108)

84.7 (161)

8.9 (17)

6.3 (12)

0.02

I have used pharmaceuticals to control my weight (appetite restricting drugs, laxatives or diuretics)

95.5 (835)

2.1 (18)

2.4 (21)

94.6 (2065)

3.2 (70)

2.2 (49)

86.3 (164)

5.3 (10)

8.4 (16)

<0.001

N = number of participants.

In Table 3 responses to the questions were divided into three groups: underweight, of normal BMI and overweight. The dominating tendency was similar to the results presented in Tables 1-2. However, males were more inclined to exercise (22.9% for males versus 9.8% for females), to use drugs for weight-control or induce vomiting after meal in only underweight group. In normal BMI group, significantly more males allowed themselves to eat large amount of food at one sitting. Overweight children were less afraid of getting fat then other groups.

Table 3. Distribution of the responses to the questions among underweight, normal and overweight.

 

Underweight, % (N)

Normal, % (N)

Overweight, % (N)

 

Females

Males

 

Females

Males

 

Females

Males

 

Items

Not true

Somewhat true

Certainly true

Not true

Somewhat true

Certainly true

p

Not true

Somewhat true

Certainly true

Not true

Somewhat true

Certainly true

p

Not true

Somewhat true

Certainly true

Not true

Somewhat true

Certainly true

p

I would like to be thinner

59.88 (312)

21.88 (114)

18.23 (95)

82.71 (292)

11.33 (40)

5.94 (21)

<0.001

21.55 (225)

29.98 (313)

48.46 (506)

69.64 (794)

18.85 (215)

11.49 (131)

<0.001

12 (9)

24 (18)

64 (48)

33.04 (38)

34.78 (40)

32.17 (37)

<0.001

I exercise a lot to avoid gaining weight

58.34 (304)

31.86 (166)

9.78 (51)

55.52 (196)

21.52 (76)

22.94 (81)

<0.01

44.15 (461)

41.66 (435)

14.17 (148)

46.4 (529)

35.87 (409)

17.71 (202)

>0.05

48 (36)

41.33 (31)

10.66 (8)

37.39 (43)

41.73 (48)

20.86 (24)

>0.05

I have been on a diet

76 (396)

9,02 (47)

14,97 (78)

92,35 (326)

3,39 (12)

4,24 (15)

<0.001

57,37 (599)

17,24 (180)

25,38 (265)

88,42 (1008)

5,87 (67)

5,7 (65)

<0.001

44 (33)

28 (21)

28 (21)

73,91 (85)

13,04 (15)

13,04 (15)

<0.001

I am afraid of getting fat

44,72 (233)

28,21 (147)

27,06 (141)

68,55 (242)

16,99 (60)

14,44 (51)

<0.001

25,19 (263)

30,26 (316)

44,54 (465)

67,54 (770)

19,56 (223)

12,89 (147)

<0.001

34,66 (26)

29,33 (22)

36 (27)

51,3 (59)

38,26 (44)

10,43 (12)

<0.001

I have lost weight considerably over a short period of time due to not eating properly

86,18 (449)

8,82 (46)

4,99 (26)

84,98 (300)

11,33 (40)

3,68 (13)

>0.05

85,44 (892)

9,29 (97)

5,26 (55)

86,92 (991)

9,73 (111)

3,33 (38)

>0.05

94,66 (71)

5,33 (4)

0 (0)

87,82 (101)

7,82 (9)

4,34 (5)

>0.05

I am not happy with my body

46,44 (242)

32,05 (167)

21,49 (112)

65,15 (230)

20,39 (72)

14,44 (51)

<0.001

32,95 (344)

36,59 (382)

30,45 (318)

59,12 (674)

24,12 (275)

16,75 (191)

<0.001

25,33 (19)

26,66 (20)

48 (36)

46,95 (54)

37,39 (43)

15,65 (18)

<0.001

It terrifies me if I gain even a little weight

76,19 (397)

15,16 (79)

8,63 (45)

88,95 (314)

5,38 (19)

5,66 (20)

<0.001

56,13 (586)

25,67 (268)

18,19 (190)

87,54 (998)

9,82 (112)

2,63 (30)

<0.001

42,66 (32)

30,66 (23)

26,66 (20)

70,43 (81)

19,13 (22)

10,43 (12)

<0.001

I am not always able to control my eating

43,57 (227)

33,97 (177)

22,45 (117)

54,1 (191)

28,89 (102)

16,99 (60)

<0.01

30,84 (322)

36,78 (384)

32,37 (338)

54,03 (616)

27,1 (309)

18,85 (215)

<0.001

30,66 (23)

48 (36)

21,33 (16)

45,21 (52)

40,86 (47)

13,91 (16)

>0.05

I devour large amounts of food at one time

63,14 (329)

20,53 (107)

16,31 (85)

57,79 (204)

27,47 (97)

14,73 (52)

>0.05

58,52 (611)

29,88 (312)

11,59 (121)

46,57 (531)

32,98 (376)

20,43 (233)

<0.001

65,33 (49)

32 (24)

2,66 (2)

62,6 (72)

21,73 (25)

15,65 (18)

>0.05

I have wilfully vomited after having eaten

91,36 (476)

4,03 (21)

4,6 (24)

79,03 (279)

11,33 (40)

9,63 (34)

<0.001

91,85 (959)

3,25 (34)

4,88 (51)

88,15 (1005)

6,84 (78)

5 (57)

>0.05

86,66 (65)

8 (6)

5,33 (4)

83,47 (96)

9,56 (11)

6,95 (8)

>0.05

I have used pharmaceuticals to control my weight (appetite restricting drugs, laxatives or diuretics)

96,92 (505)

1,15 (6)

1,91 (10)

93,48 (330)

3,39 (12)

3,11 (11)

<0.05

94,92 (991)

2,77 (29)

2,29 (24)

94,21 (1074)

3,59 (41)

2,19 (25)

>0.05

81,33 (61)

5,33 (4)

13,33 (10)

89,56 (103)

5,21 (6)

5,21 (6)

>0.05

N = number of participants

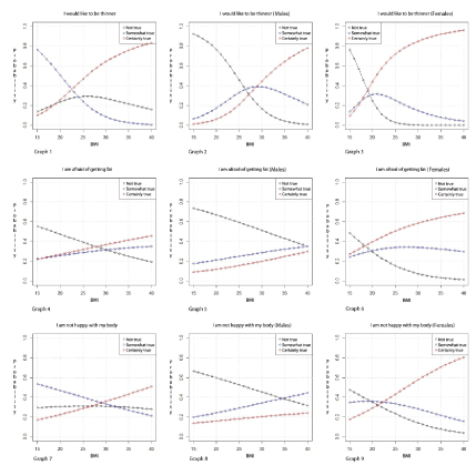
Whereas the most significant differences in sex and BMI were revealed when grouped according to the answers to the three questions: “I would like to be thinner”, “I am afraid of getting fat” and “I am not happy with my body” (Figure 1). Responses to these questions were further analyzed using multinomial logistic regression method. The probability was calculated with which BMI values males and females agreed or did not agree with statements “I would like to be thinner”, “I am afraid of getting fat” and “I am not happy with my body”. Presumptions calculated and presented in Graphs 1-9 show general tendency that females were significantly more concerned about their body and weight.

Figure 1. Response to the study.

Graphs 1-3 show how BMI was correlated with probability that male or female agreed with statement “I would like to be thinner”. The probabilities to agree and not to agree with statement ”I would like to be thinner” intersected with BMI 19 in females and BMI 27 in males.

Graphs 4-6 show how BMI was correlated with probability that male or female agreed with statement ”I am afraid of getting fat”. The probabilities to agree and not to agree with statement. “I am afraid of getting fat” intersected with BMI 18 in females and did not intersect in males even in whose BMI exceeded 40. In high BMI values probability to agree with this statement was 0.7 in females and only 0.35 in males.

In Graphs 7-9 appeared interesting results about how BMI was correlated with probability to agree or not to agree with statement . “I am not happy with my body”. Probabilities to agree and not to agree with this statement intersected with BMI 21 in females and in females dramatically grew with increasing BMI values, on the contrary, in males there was no intersection and only slight grow with increasing BMI values.

Discussion

Importance to be thinner

Females significantly more expressed their wish to be thinner and less considered their weight as optimal. With increasing BMI category, there were more adolescents wanting to be thinner (from 1 of 8 to 1 of 2). Even in lowest BMI category only 2 of 3 adolescents did not want to be thinner, with every further BMI category the number of students uncertain if they wanted to be thinner was higher. But even in highest weight category 1 of 4 adolescents reported that they do not want to be thinner. Sex differences were revealed: only small percentage of males compared to females wanted to be thinner when underweight and in overweight group 1 of 3 males and 2 of 3 females wanted to be thinner. In normal BMI category only 1 of 5 females did not want and 1 of 2 wanted to be thinner. Females’ attitude to their optimal weight was distorted with tendency to wish to be thinner when having normal and even low BMI. Study made with sample of 144 German females revealed that females would like to be an average of 1.97 BMI unit’s thinner [10]. Possibly males were more inclined to consider their weight as optimal and did not want to be thinner because of different expectations for males and females in society. This statement includes only expectations for females and says nothing about males who tend to consider muscularity and not thinness as important [11]. However, Malaysian data showed that males were more inclined to wish to be thinner [12].

Satisfaction with one’s body

Results revealed that females were less satisfied with their bodies than males, which is the tendency seen in most countries, except Greece [13]. Both females and males expressed most satisfaction with their bodies when they were underweighting with dissatisfaction increasing with increasing BMI status. Females’ dissatisfaction ascended more steeply than males with a notable amount of normal weight or even underweight females not considering themselves to be content with their body. These results may indicate that males’ satisfaction with their bodies did not depend on their weight so tightly as females’ and was influenced by other factors.

Exercise and diet as measures for weight control

More males than females admitted exercising a lot to avoid gaining weight. Results show that with every BMI category the number of those who exercised increased and the number of those who did not exercise decreased. In underweight category males exercised significantly more than females. This higher rate of exercise could depict the difference between male’s and female’s ideal body image with males preferring muscular constitution [14]. Tendency to exercise among underweight males may represent dissatisfaction with their weight and shape and desire for lean muscular body prominent in Western societies [15].

As expected, more females than males admitted of dieting with numbers increasing with every category.  It’s alarming that even in underweight category 14.9% of all females have been on a diet. This could depict that females are very influenced by lean body ideal with efforts to control their weight starting even before necessity comes. On the other hand, number of males who acknowledged of dieting shouldn’t be discarded. It is likely that this number is higher as males could consider restriction of their food portions not as a dieting. This assumption could suggest a necessity to formulate questions for males differently adjusting their attitudes and perceptions regarding body shape issues. Separate questionnaires for males and females regarding eating behaviour and weight control issues could be elaborated in further investigations.

However, a number of overweight teenagers, especially males, denied exercising or dieting. It is therefore important to make plans aimed at increasing awareness of their BMI status maintaining subtle balance between encouraging healthy weight and persuading to undertake harmful weight control measures.

The fear of getting fat and the fear of gaining even a little weight

Results of our study showed that females more than males were inclined to be afraid of getting fat. 1/3 of females and 2/3 of males were not afraid of getting fat. But 2/5 of females and only 1/8 of males were afraid of getting fat. In normal BMI category, there were more adolescents fearful of getting fat than in underweight, but in overweight category the number of adolescents fearful of getting fat was even lower than in underweight category.  Supposedly overweight adolescents are more inclined to accept their weight or on the contrary they do not want to admit their fear of getting fat.

16% of females compared to 4% of males tended to be terrified if they gained even a little weight. This is quite low result compared to Japanese study which revealed that 79% of 17-year-old females be afraid of weight gain [16]. In our study, with every BMI category the number of adolescents who were not terrified by gaining a little weight decreased and number of those who were terrified increased. In underweight category 9% of females and 6% of males were terrified by gaining even a little weight and in normal BMI category 18% of females and 3% of males were terrified. In overweight category 43% of females and 70% of males were not terrified by gaining even a little weight and 27% of females and 10% of males were afraid.

Vomiting and pharmaceuticals as a measure for weight control

Males had a higher prevalence of self-induced vomiting than females with peaks in underweight and overweight categories. This finding is repeated in Liou, et al. study [17], however other studies found that females’ rate exceeded males’ [18,19]. In any case, it’s very alarming that even 5.5% of all in our study included adolescents were involved in such a harmful behaviour. It’s also worth to mention that 2.6% of our participants have used pharmaceuticals to control weight (appetite restricting drugs, laxatives or diuretics), however, no significant differences were found between drug-use habits and gender or BMI status.

Eating control

2021 Copyright OAT. All rights reserv

Results of our study revealed that 29% of females and 18% of males felt like they were not always able to control their eating. This can be explained with higher peer pressure for females to control their eating and as a result female who eats normally may see herself as having no control of her eating. The number of adolescents who did not agree that they are not always able to control their eating increased with BMI category. The highest percent of adolescents who were not always able to control their eating was in normal BMI category and in overweight category the percent was lowest. In underweight category 44% of females and 54% of males were able to control their eating and 23% of females and 17% of males were not. In normal BMI category 31% of females and 54% of males were able to control their eating and 32% of females and 19% of males were not. In overweight group, no differences were noticed. Due to lack of data about tendencies of eating control in general population it is hard to make further comparisons with other studies.

Devouring large amounts of food at one time

More males than females admitted consuming large amounts of food at once. This finding is consisted with data seen in other studies [20,21].  Results were especially pronounced in normal-weight males. This outcome could be explained by females’ tendency to restrict their portions seeking to match their food intake because of need for social acceptance, which is behaviour not evidenced in male participants (especially in normal-weight males) [22] possibly pointing to males’ greater caloric need [23], their more lax relationship with food, including feeling less guilty when devouring large amounts of food and perhaps even overeating on purpose to gain extra weight seeking to increase muscularity [24].

Study limits

The current survey was based on self-reported weight and height assessments, which can be seen as limitation and might translate into a lower level of accuracy but this way long procedures of height and weight measurements were avoided saving money, time and human resources. Moreover, results weren’t analyzed comparing town and rural areas or home/ family environment aspects, which could be subjects for further investigation.

Conclusion

This study revealed that a great number of teenagers in Lithuania had unreasonably negative view of their body image. Their dissatisfaction was dependant on reported body mass index and gender with comparable number of both females and males using measures for weight-control which varied from more usual means such as diets or exercises to more sinister measures like pharmaceuticals and vomiting. Females were prone to criticise their constitution undertaking measures for weight-control even when underweight. However, even when taking in regard that males’ situation was comparatively better than females’, number of males, who had negative view of body image and controlled their weight, was found to be no longer negligibly small. These findings about perception of body image and tendencies of eating behaviour among adolescents should necessitate the need for further education directed at general practitioners, doctors from other specialties and mental health professionals.

References

  1. Schneider D (2000) International trends in adolescent nutrition. Soc Sci Med 51: 955-967. [Crossref]
  2. Vaquero-Cristóbal R, Alacid F, Muyor JM, López-Miñarro PÁ (2013) Body image; literature review. Nutr Hosp 28: 27-35. [Crossref]
  3. Derenne JL, Beresin EV (2006) Body image, media, and eating disorders. Acad Psychiatry 30: 257-261. [Crossref]
  4. Slade PD (1994) What is body image? Behav Res Ther 32: 497-502. [Crossref]
  5. Brunson JA, Overup CS, Nguyen ML, Novak SA, Smith CV (2014) Good intentions gone awry? Effects of weight-related social control on health and well-being. Body Image 11: 1-10. [Crossref]
  6. Danielsen YS, Stormark KM, Nordhus IH, Mæhle M, Sand L, et al. (2012) Factors associated with low self-esteem in children with overweight. Obes Facts 5: 722-733. [Crossref]
  7. Jones DC, Smolak L (2011) Body Image during Adolescence: A Developmental Perspective. Encyclopedia of Adolescence pp. 77-86.
  8. Goldschmidt AB, Aspen VP, Sinton MM, Tanofsky-Kraff M, Wilfley DE (2008) Disordered Eating Attitudes and Behaviors in Overweight Youth. Obesity 16: 257-264.
  9. Goodman E, Hinden BR, Khandelwal S (2000) Accuracy of teen and parental reports of obesity and body mass index. Pediatrics 106: 52-58. [Crossref]
  10. Schneider S, Weiss M, Thiel A, Werner A, Mayer J, et al. (2013) Body dissatisfaction in female adolescents: extent and correlates. European Journal of Pediatrics 172: 373-384.
  11. Mills JS, Jadd R, Key BL (2012) Wanting a body that's better than average: the effect of manipulated body norms on ideal body size perception. Body Image 9: 365-372. [Crossref]
  12. Khor GL, Zalilah MS, Phan YY, Ang M, Maznah B, et al. (2009) Perceptions of body image among Malaysian male and female adolescents. Singapore Medical Journal 50: 303-311.
  13. McCabe MP, Fuller-Tyszkiewicz M, Mellor D, Ricciardelli L, Skouteris H, et al. (2012) Body satisfaction among adolescents in eight different countries. Journal of Health Psychology 17: 693-701.
  14. Eisenberg ME, Wall M, Neumark-Sztainer D (2012) Muscle-enhancing behaviors among adolescent girls and boys. Pediatrics 130: 1019-1026.
  15. Ferrante M, Fiore M, Sciacca GE, Leon L, Sciacca S, et al.  (2010) The role of weight status, gender and self-esteem in following a diet among middle-school children in Sicily (Italy). BMC Public Health 10: 241.
  16. Kaneko K, Kiriike N, Ikenaga K, Miyawaki D, Yamagami S (1999) Weight and shape concerns and dieting behaviours among pre-adolescents and adolescents in Japan. Psychiatry and Clinical Neurosciences 53: 365-371.
  17. Liou YM, Hsu YW, Ho JF, Lin CH, Hsu WY, et al. (2012) Prevalence and correlates of self-induced vomiting as weight-control strategy among adolescents in Taiwan. Journal of Clinical Nursing 21: 11-20.
  18. Guarino R, Pellai A, Bassoli L (2005) Overweight, thinness, body self-image and eating strategies of 2,121 Italian teenagers. The Scientific World Journal 5: 812-819.
  19. Haines J, Kleinman KP, Rifas-Shiman SL, Field AE, Austin S (2010) Examination of shared risk and protective factors for overweight and disordered eating among adolescents. Arch Pediatr Adolesc Med 164: 336-343.
  20. Kalarchian M (2003) Binge eating in children and adolescents. International Journal of Eating Disorders 34: 47-57.
  21. Striegel-Moore RH, Rosselli F, Perrin N, DeBar L, Wilson GT, et al. (2009) Gender difference in the prevalence of eating disorder symptoms. Int J Eat Disord 42: 471-474.
  22. Robinson E, Tobias T, Shaw L, Freeman E, Higgs S (2011) Social matching of food intake and the need for social acceptance. Appetite 56: 747-752. [Crossref]
  23. Rolls BJ, Fedoroff IC, Guthrie JF (1991) Gender differences in eating behavior and body weight regulation. Health Psychol 10: 133-142. [Crossref]
  24. Cafri, G, van den Berg P, Thompson JK (2006) Pursuit of muscularity in adolescent boys: relations among biopsychosocial variables and clinical outcomes. Journal of Clinical Child & Adolescent Psychology 35: 283-291. 

Editorial Information

Editor-in-Chief

Kohei Akazawa
Niigata University Medical and Dental Hospital, Japan

Article Type

Review Article

Publication history

Received date: June 20, 2017
Accepted date: July 17, 2017
Published date: July 19, 2017

Copyright

© 2017 Lesinskiene S. This is an open-access article distributed under the terms of the Creative Commons Attribution License, which permits unrestricted use, distribution, and reproduction in any medium, provided the original author and source are credited.

Citation

Lesinskiene S, Karaliene V, Kostecka J, Germaniene D (2017) Perception of body image and tendencies of eating behaviour among adolescents Health Prim Car 1: DOI: 10.15761/HPC.1000109

Corresponding author

Sigita Lesinskienė

Faculty of Medicine, Clinic of Psychiatry, Vilnius University, Vilnius, Lithuania.

E-mail : bhuvaneswari.bibleraaj@uhsm.nhs.uk

Figure 1. Response to the study.

Table 1. Distribution of the responses to the questions among males and females.

 

Total % (N)

Females, % (N)

Males, % (N)

 

Items

Not true

Somewhat true

Certainly true

Not true

Somewhat true

Certainly true

Not true

Somewhat true

Certainly true

p

I would like to be thinner

51.4 (1670)

22.8 (740)

25.8 (838)

33.3 (546)

27.1 (445)

39.6 (649)

69.9 (1124)

18.3 (295)

11.8 (189)

<0.001

I exercise a lot to avoid gaining weight

48.3 (1569)

35.9 (1165)

15.8 (514)

48.8 (801)

38.5 (632)

12.6 (207)

47.8 (768)

33.1 (533)

19.1 (307)

<0.001

I have been on a diet

75.3 (2447)

10.5 (342)

14.1 (459)

62.7 (1028)

15.1 (248)

22.2 (364)

88.2 (1419)

5.8 (94)

5.9 (95)

<0.001

I am afraid of getting fat

49 (1593)

25 (812)

26 (843)

31.8 (522)

29.6 (485)

38.6 (633)

66.6 (1071)

20.3 (327)

13.1 (210)

<0.001

I have lost weight considerably over a short period of time due to not eating properly

86.3 (2804)

9.5 (307)

4.2 (137)

86.1 (1412)

9 (147)

4.9 (81)

86.6 (1392)

10 (160)

3.5 (56)

0.085

I am not happy with my body

48.1 (1563)

29.5 (959)

22.4 (726)

36.9 (605)

34.7 (569)

28.4 (466)

59.6 (958)

24.3 (390)

16.2 (260)

<0.001

It terrifies me if I gain even a little weight

74.1 (2408)

16.1 (523)

9.8 (317)

61.9 (1015)

22.6 (370)

15.5 (255)

86.6 (1393)

9.5 (153)

3.9 (62)

<0.001

I am not always able to control my eating

44.1 (1431)

32.5 (1431)

23.5 (762)

34.9 (572)

36.4 (597)

28.7 (471)

53.4 (859)

28.5 (458)

18.1 (291)

<0.001

I devour large amounts of food at one time

55.3 (1796)

29 (941)

15.7 (511)

60.3 (989)

27 (443)

12.7 (208)

50.2 (807)

31 (498)

18.8 (303)

<0.001

I have wilfully vomited after having eaten

88.7 (2880)

5.8 (190)

5.5 (178)

91.5 (1500)

3.7 (61)

4.8 (79)

85.8 (1380)

8 (129)

6.2 (99)

<0.001

I have used pharmaceuticals to control my weight (appetite restricting drugs, laxatives or diuretics)

94.3 (3064)

3 (98)

2.6 (86)

94.9 (1557)

2.4 (39)

2.7 (44)

93.7 (1507)

3.7 (59)

2.6 (42)

0.099

N = number of participants.

Table 2. Distribution of the responses to the questions among underweight, normal and overweight.

 

Underweight, % (N)

Normal, % (N)

Overweight, % (N)

 

Items

Not true

Somewhat true

Certainly true

Not true

Somewhat true

Certainly true

Not true

Somewhat true

Certainly true

p

I would like to be thinner

69.1 (604)

17.6 (154)

13.3 (116)

46.7 (1019)

24.2 (528)

29.2 (637)

24.7 (47)

30.5 (58)

44.7 (85)

<0.001

I exercise a lot to avoid gaining weight

57.2 (500)

27.7 (242)

15.1 (132)

45.3 (990)

38.6 (844)

16 (350)

41.6 (79)

41.6 (79)

16.8 (32)

<0.001

I have been on a diet

82.6 (722)

6.8 (59)

10.6 (93)

73.6 (1607)

11.3 (247)

15.1 (330)

62.1 (118)

18.9 (36)

18.9 (36)

<0.001

I am afraid of getting fat

54.3 (475)

23.7 (207)

22 (192)

47.3 (1033)

24.7 (539)

28 (612)

44.7 (85)

34.7 (66)

20.5 (39)

<0.001

I have lost weight considerably over a short period of time due to not eating properly

85.7 (749)

9.8 (86)

4.5 (39)

86.2 (1883)

9.5 (208)

4.3 (93)

90.5 (172)

6.8 (13)

2.6 (5)

0.522

I am not happy with my body

54 (472)

37.3 (239)

18.6 (163)

46.6 (1018)

30.1 (657)

23.3 (509)

38.4 (73)

33.2 (63)

28.4 (54)

<0.001

It terrifies me if I gain even a little weight

81.4 (711)

11.2 (98)

7.4 (65)

72.5 (1584)

17.4 (380)

10.1 (220)

59.5 (113)

23.7 (45)

16.8 (32)

<0.001

I am not always able to control my eating

47.8 (418)

31.9 (279)

20.3 (279)

42.9 (938)

31.7 (693)

25.3 (553)

39.5 (75)

43.7 (83)

16.8 (32)

<0.001

I devour large amounts of food at one time

61 (533)

23.3 (204)

15.7 (137)

52.3 (1142)

31.5 (688)

16.2 (354)

63.7 (121)

25.8 (49)

10.5 (20)

<0.001

I have wilfully vomited after having eaten

86.4 (755)

7 (61)

6.6 (58)

89.9 (1964)

5.1 (112)

4.9 (108)

84.7 (161)

8.9 (17)

6.3 (12)

0.02

I have used pharmaceuticals to control my weight (appetite restricting drugs, laxatives or diuretics)

95.5 (835)

2.1 (18)

2.4 (21)

94.6 (2065)

3.2 (70)

2.2 (49)

86.3 (164)

5.3 (10)

8.4 (16)

<0.001

N = number of participants.

Table 3. Distribution of the responses to the questions among underweight, normal and overweight.

 

Underweight, % (N)

Normal, % (N)

Overweight, % (N)

 

Females

Males

 

Females

Males

 

Females

Males

 

Items

Not true

Somewhat true

Certainly true

Not true

Somewhat true

Certainly true

p

Not true

Somewhat true

Certainly true

Not true

Somewhat true

Certainly true

p

Not true

Somewhat true

Certainly true

Not true

Somewhat true

Certainly true

p

I would like to be thinner

59.88 (312)

21.88 (114)

18.23 (95)

82.71 (292)

11.33 (40)

5.94 (21)

<0.001

21.55 (225)

29.98 (313)

48.46 (506)

69.64 (794)

18.85 (215)

11.49 (131)

<0.001

12 (9)

24 (18)

64 (48)

33.04 (38)

34.78 (40)

32.17 (37)

<0.001

I exercise a lot to avoid gaining weight

58.34 (304)

31.86 (166)

9.78 (51)

55.52 (196)

21.52 (76)

22.94 (81)

<0.01

44.15 (461)

41.66 (435)

14.17 (148)

46.4 (529)

35.87 (409)

17.71 (202)

>0.05

48 (36)

41.33 (31)

10.66 (8)

37.39 (43)

41.73 (48)

20.86 (24)

>0.05

I have been on a diet

76 (396)

9,02 (47)

14,97 (78)

92,35 (326)

3,39 (12)

4,24 (15)

<0.001

57,37 (599)

17,24 (180)

25,38 (265)

88,42 (1008)

5,87 (67)

5,7 (65)

<0.001

44 (33)

28 (21)

28 (21)

73,91 (85)

13,04 (15)

13,04 (15)

<0.001

I am afraid of getting fat

44,72 (233)

28,21 (147)

27,06 (141)

68,55 (242)

16,99 (60)

14,44 (51)

<0.001

25,19 (263)

30,26 (316)

44,54 (465)

67,54 (770)

19,56 (223)

12,89 (147)

<0.001

34,66 (26)

29,33 (22)

36 (27)

51,3 (59)

38,26 (44)

10,43 (12)

<0.001

I have lost weight considerably over a short period of time due to not eating properly

86,18 (449)

8,82 (46)

4,99 (26)

84,98 (300)

11,33 (40)

3,68 (13)

>0.05

85,44 (892)

9,29 (97)

5,26 (55)

86,92 (991)

9,73 (111)

3,33 (38)

>0.05

94,66 (71)

5,33 (4)

0 (0)

87,82 (101)

7,82 (9)

4,34 (5)

>0.05

I am not happy with my body

46,44 (242)

32,05 (167)

21,49 (112)

65,15 (230)

20,39 (72)

14,44 (51)

<0.001

32,95 (344)

36,59 (382)

30,45 (318)

59,12 (674)

24,12 (275)

16,75 (191)

<0.001

25,33 (19)

26,66 (20)

48 (36)

46,95 (54)

37,39 (43)

15,65 (18)

<0.001

It terrifies me if I gain even a little weight

76,19 (397)

15,16 (79)

8,63 (45)

88,95 (314)

5,38 (19)

5,66 (20)

<0.001

56,13 (586)

25,67 (268)

18,19 (190)

87,54 (998)

9,82 (112)

2,63 (30)

<0.001

42,66 (32)

30,66 (23)

26,66 (20)

70,43 (81)

19,13 (22)

10,43 (12)

<0.001

I am not always able to control my eating

43,57 (227)

33,97 (177)

22,45 (117)

54,1 (191)

28,89 (102)

16,99 (60)

<0.01

30,84 (322)

36,78 (384)

32,37 (338)

54,03 (616)

27,1 (309)

18,85 (215)

<0.001

30,66 (23)

48 (36)

21,33 (16)

45,21 (52)

40,86 (47)

13,91 (16)

>0.05

I devour large amounts of food at one time

63,14 (329)

20,53 (107)

16,31 (85)

57,79 (204)

27,47 (97)

14,73 (52)

>0.05

58,52 (611)

29,88 (312)

11,59 (121)

46,57 (531)

32,98 (376)

20,43 (233)

<0.001

65,33 (49)

32 (24)

2,66 (2)

62,6 (72)

21,73 (25)

15,65 (18)

>0.05

I have wilfully vomited after having eaten

91,36 (476)

4,03 (21)

4,6 (24)

79,03 (279)

11,33 (40)

9,63 (34)

<0.001

91,85 (959)

3,25 (34)

4,88 (51)

88,15 (1005)

6,84 (78)

5 (57)

>0.05

86,66 (65)

8 (6)

5,33 (4)

83,47 (96)

9,56 (11)

6,95 (8)

>0.05

I have used pharmaceuticals to control my weight (appetite restricting drugs, laxatives or diuretics)

96,92 (505)

1,15 (6)

1,91 (10)

93,48 (330)

3,39 (12)

3,11 (11)

<0.05

94,92 (991)

2,77 (29)

2,29 (24)

94,21 (1074)

3,59 (41)

2,19 (25)

>0.05

81,33 (61)

5,33 (4)

13,33 (10)

89,56 (103)

5,21 (6)

5,21 (6)

>0.05

N = number of participants